• Предмет: Геометрия
  • Автор: yulialarionova12
  • Вопрос задан 8 лет назад

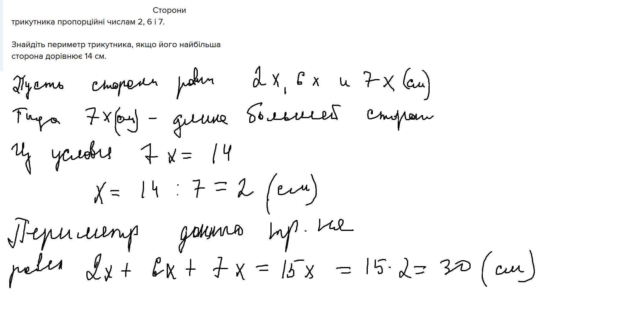
ПОМОГИТЕ ПОЖАЛУЙСТА!!!!!!!!!!!!!!! Сторони трикутника пропорційні числам 2, 6 і 7.

Знайдіть периметр трикутника, якщо його найбільша сторона дорівнює 14 см.

Ответы

Ответ дал: vikll
0

Ответ:

Объяснение:Сторони трикутника пропорційні числам 2, 6 і 7.

Приложения:
Вас заинтересует