Ответы
Ответ дал:
0
Ответ:
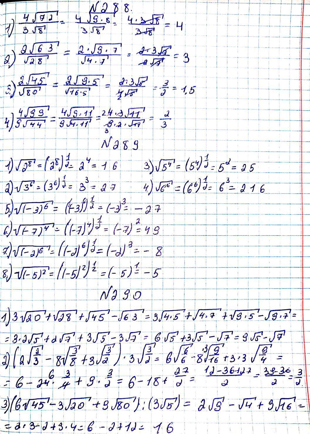
Я закрепил тебе все твои три задания: 288, 289 и 290
Объяснение:
Приложения:

Ответ дал:
0
Ответ:
1)2^4
2)3^3
3)5^2
4)6^3
5)-3^3
6)-7^2
7)-2^3
8)-5^2
номер 289 закончен
Приложения:


Ответ дал:
0
спасибо
Вас заинтересует
2 года назад
3 года назад
3 года назад
8 лет назад
9 лет назад
9 лет назад