Ответы
Ответ дал:
0
Ответ:
-22
Пошаговое объяснение:
..................
Ответ дал:
0
Ответ:
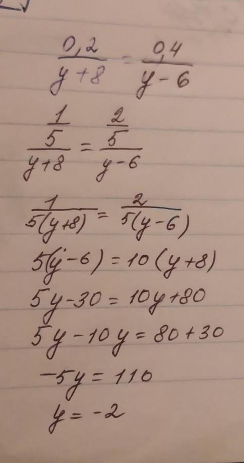
Решение посмотрите на фото. Ошибка* ответ равен - 22
Приложения:

Вас заинтересует
2 года назад
3 года назад
3 года назад
8 лет назад
8 лет назад
9 лет назад