• Предмет: Геометрия
  • Автор: ketrinzwyozdochkina
  • Вопрос задан 8 лет назад

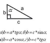
Друзьяшки!Помогите решить прошу!

Приложения:

Ответа на этот вопрос пока нет. Попробуйте найти его через форму поиска.

Вас заинтересует