ПОМОГИТЕ ПОЖАЛУЙСТА СРОЧНО!!!ЧЕРЕЗ ПОЛ ЧАСА ОТПРАВЛЯТЬ УЧИТЕЛЮ!!!!ПОМОГИТЕ УМОЛЯЮ ВАС!!!
Приложения:

Ответы
Ответ дал:
0
Ответ:
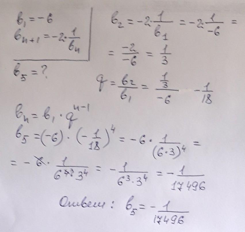
Найдите b(5)..........
Приложения:

Вас заинтересует
2 года назад
2 года назад
3 года назад
3 года назад
8 лет назад
9 лет назад
9 лет назад