• Предмет: Алгебра
  • Автор: aisgamer666p8akp0
  • Вопрос задан 8 лет назад

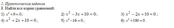
решите пожалуйста примеры

Приложения:

Ответы

Ответ дал: chizarp
0

Ответ:

1)x^2+9=0

x^2=-9

x-нет действительных корней

4)D=b^2-4ac=4-40=-36

тк D<0, то нет корней

2)D=b^2-4ac=9-40=-31

тк D<0, то нет корней

5)x^4=16

x=2 и х=-2

3)D=b^2-4ac=4-40=-36

тк D<0, то нет корней

6)x^2=-100

x-нет действительных корней

Вас заинтересует