Ответы
Ответ дал:
2
Объяснение:
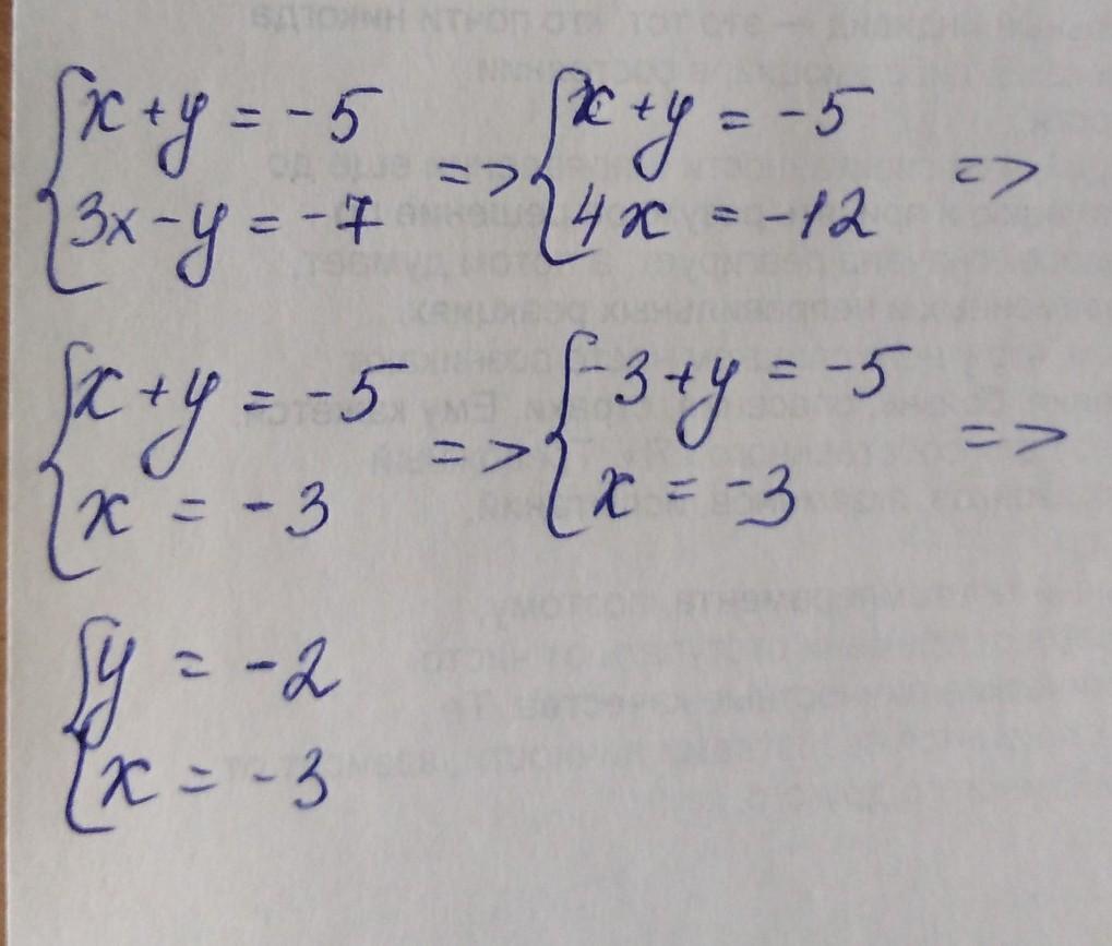
Решение на фото...........
Приложения:

Вас заинтересует
1 год назад
1 год назад
1 год назад
3 года назад
3 года назад
8 лет назад