• Предмет: Математика
  • Автор: smurovmaks2
  • Вопрос задан 8 лет назад

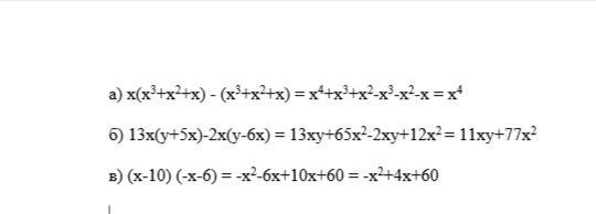
1. Выполните умножение, раскройте скобки, приведите подобные
слагаемые:

Приложения:

Ответы

Ответ дал: Nelyastep
0

вроде так.... . . .  . . . .

Приложения:
Вас заинтересует