• Предмет: Алгебра
  • Автор: csgoakkidivpizdy
  • Вопрос задан 8 лет назад

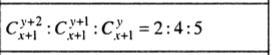
Из данной пропорции найти x и y.

Приложения:

Ответы

Ответ дал: victoriashegeda
0

Ответ:

х=12

у=4

Объяснение:

Решила только первое

Приложения:
Вас заинтересует