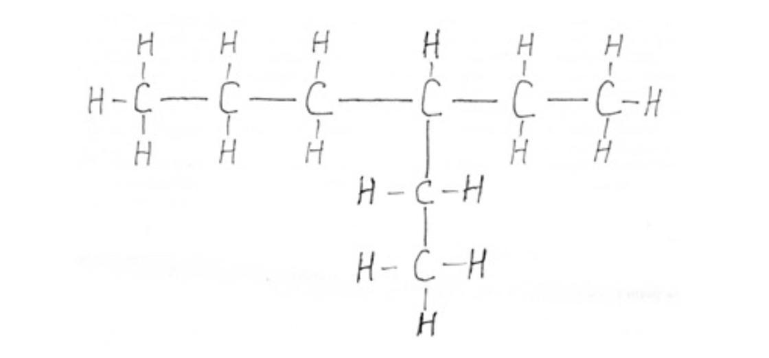
Срочно!!! Рассмотрите структурную формулу вещества. Напишите, как называется данное вещество?
Приложения:

Ответы
Ответ дал:
0
Ответ:
c8h18 октан...........
Вас заинтересует
2 года назад
2 года назад
3 года назад
3 года назад
9 лет назад