• Предмет: Алгебра
  • Автор: ХельгаХэинд
  • Вопрос задан 11 лет назад

Очень прошу помочь и расписать последовательно!

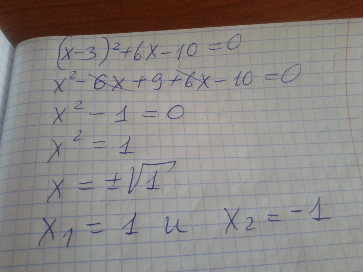
(x-3)^2+6x=10

Ответы

Ответ дал: MARRIETTA
0
ловиииииииииииииииииииииииииииииииииииииии
Приложения:
Ответ дал: samotugaa
0
(x-3)^{2} +6x=10  x^{2} -6x+9+6x=10 x^{2} +9=10 x^{2} =10-9 x^{2} =1 x1{} =-1 x2{} =1
Приложения:
Вас заинтересует