• Предмет: Математика
  • Автор: katenasubbotina1999
  • Вопрос задан 8 лет назад

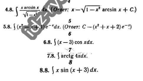
найти неопределенный интеграл.

Приложения:

Ответа на этот вопрос пока нет. Попробуйте найти его через форму поиска.

Вас заинтересует