• Предмет: Алгебра
  • Автор: autist13
  • Вопрос задан 8 лет назад

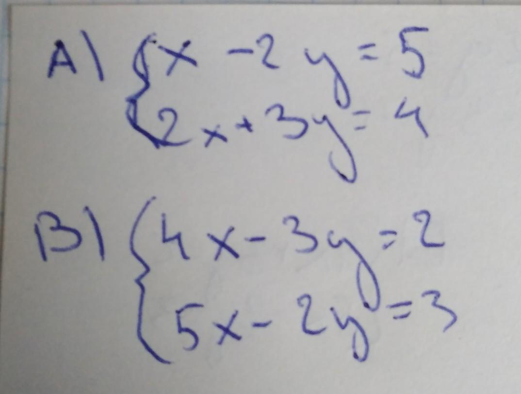
А) решить методом подстановки
В) решить способом сложения ​

Приложения:

Ответа на этот вопрос пока нет. Попробуйте найти его через форму поиска.

Вас заинтересует