• Предмет: Алгебра
  • Автор: aarreshek
  • Вопрос задан 2 года назад

алгебра 7 класс
помогите пожалуйста
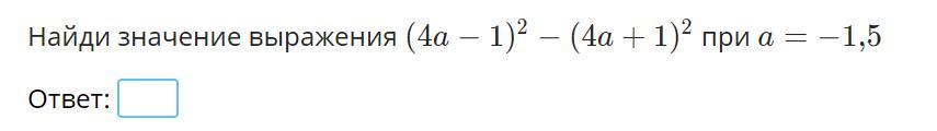
найдите значение выражения (фото внутри)

Приложения:

Ответы

Ответ дал: varvaraponomareva07
0

Ответ:

24.

Объяснение:

..............................

Ответ дал: bikabushhhh
0

Используя a^2-b^2=(a-b)(a+b)

(4a-1)^2 - (4a+1)^2  = -2 * 8a = -16a вместо а подставляем -1,5,следовательно -2 * 8 *(-1,5) = 2*8*1,5 = 24

Ответ: 24

Вас заинтересует