• Предмет: Алгебра
  • Автор: sonyatessla
  • Вопрос задан 8 лет назад

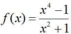
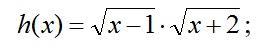
Знайти область визначення функції

Приложения:

Ответа на этот вопрос пока нет. Попробуйте найти его через форму поиска.

Вас заинтересует