• Предмет: Математика
  • Автор: aleksanrrepikov
  • Вопрос задан 2 года назад

Помогите задали не знаю как делать.

Приложения:

denKrytoiDaDaDa: .

Ответы

Ответ дал: Neznaika532
0

Почленно умножаешь первый член в первой скобке на первый член во второй скобке, потом первый член в первой скобке умножаешь на второй член во второй скобке, потом умножаешь второй член в первой скобке на первый член во второй скобке, потом умножаешь второй член в первой скобке на второй член во второй скобке.

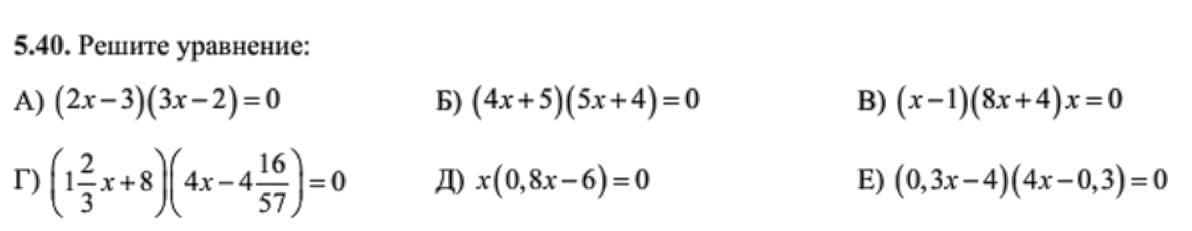
Пример: (2х-3)(3х-2) = 0

6х^2 - 4х - 9х + 6 = 0

6х^2 - 13х + 6 = 0

Применяем формулу дискриминанта.

D = B^2 - 4AC

D = 169 - 4 × 6 × 6 = 169 - 144 = 25 > 0

Если D > 0, то уравнение имеет 2 корня;

Если D > 0, то уравнение имеет 2 корня;если D < 0, то уравнение не имеет корней;

Если D > 0, то уравнение имеет 2 корня;если D < 0, то уравнение не имеет корней;если D = 0, то уравнение имеет 1 корень.

Чтобы найти корни уравнения, воспользуемя формулой x = - B+- корень из D ÷ 2A, если же D = 0, то формула выглядит так: х = - B ÷ 2A.

x1 = (13 + 5) ÷ 2 × 6 = 18 ÷ 12 = 3/2 = 1,5

x2 = (13 - 5) ÷ 2 × 6 = 8 ÷ 12 = 2/3

Ответ: х1 = 1,5; х2 = 2/3.

Ответ дал: jekadva
0

Ответ:

Пошаговое объяснение:

(2x - 3)(3x - 2) = 0

2x - 3 = 0 или     3x - 2 = 0

2x = 3                   3x = 2

x = 3 : 2                 x = 2 : 3

x = 1,5    или          х = 2/3

ответ: x₁ = 2/3 ;       x₂= 1,5

---------------------------------------------------

(4x + 5)(5x + 4) = 0

4x + 5 = 0   или    5x + 4 = 0

4x = -5                   5x = -4    

x = -5 : 4                x = -4 : 5

x = -1,25   или       х = -0,8

ответ: x₁ = -1,25 ;      x₂ = -0,8

----------------------------------------------

(x - 1)(8x + 4)x = 0

x - 1 = 0  или  8x + 4 = 0     и  х = 0

x = 1                 8x = -4

                        x = -4:8

                        x = -0,5

ответ:  x₁ = -0,5 ;  x₂=0 ; x₃ = 1

-------------------------------------------------

(1 2/3x + 8)(4x - 4 16/57) = 0

1 2/3x + 8 = 0    или     4x - 4 16/57 = 0

1 2/3x = -8                     4x = 4 16/57

x = -8 * 3/5                     x = 244/57 * 1/4

x = -4,8                           x = 61/57 = 1 4/57

ответ: x₁ = -4,8 ;      x₂ = 1 4/57

=============================

x(0,8x - 6) = 0

0,8x - 6 = 0   или   x = 0

0,8x = 6

x= 6 : 0,8

x = 7,5

ответ:       x₁= 0 ;       x₂= 7,5

===========================

(0,3x - 4)(4x - 0,3) = 0

0,3x - 4 = 0   или 4x - 0,3 = 0

0,3x = 4                4x = 0,3

x = 4 : 0,3              x = 0,3 : 4

x = 13 1/3                x = 0,075

ответ:  x₁ = 0,075 ;       x₂= 13 1/3

==============================

Вас заинтересует