• Предмет: Алгебра
  • Автор: plyaricks
  • Вопрос задан 8 лет назад

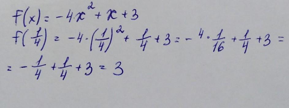
Найди f(1/4),если f(x)=-4x 2+x+3

Ответы

Ответ дал: blackmday12
0

Объяснение:

Решение на фото..........

Приложения:
Ответ дал: ant20202020
0

вместо х ставим 1/4 в формулу  и считаем

f(1/4)=-4*(1/4)²+(1/4)+3=-1/4+(1/4)+3=3

Приложения:
Вас заинтересует