• Предмет: Математика
  • Автор: studentniki
  • Вопрос задан 2 года назад

Помогите решить определённый интеграл Даю максимум баллов !!!

Приложения:

Ответы

Ответ дал: AoiK
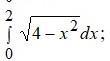
1

Ответ:

\pi

Пошаговое объяснение:

\int\limits^2_0 {\sqrt{4-x^{2} } } \, dx = 2arcsin(\frac{x}{2} )+\frac{x\sqrt{4-x^{2} } }{2}|(0;2) = 2*arcsin(\frac{2}{2} )+\frac{2\sqrt{4-2^{2} } }{2}  -2*arcsin(\frac{0}{2} )-\frac{0\sqrt{4-0^{2} } }{2} = 2*arcsin(1)+\frac{2\sqrt{0} }{2}-2*arcsin(0)-0 =2*\frac{\pi }{2}-0 -2*0=\pi


soooolnce: https://znanija.com/task/37649824
ПОМОГИТЕ, ПОЖАЛУЙСТА, ОТДАМ ВСЕ БАЛЛЫ!!!
НАПИШИТЕ НА ЛИСТОЧКЕ, ПОЖАЛУЙСТА, ОЧЕНЬ НУЖНО
ВООБЩЕ НЕ ПОНИМАЮ ВЫСШУЮ МАТЕМАТИКУ
Вас заинтересует