• Предмет: Алгебра
  • Автор: dimadmitro23
  • Вопрос задан 2 года назад

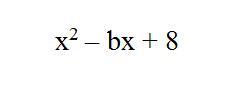
При якому значенні b один із коренів квадратного тричлена дорівнює 4?
1)4
2)2
2)6
4)- 6

Приложения:

Ответы

Ответ дал: Evgenia4836
10

Ответ:

Объяснение:

x1+4=b

x1*4=8

x1= 2

2+4= b

b=6

Вас заинтересует