Ответы
Ответ дал:
0
Ответ
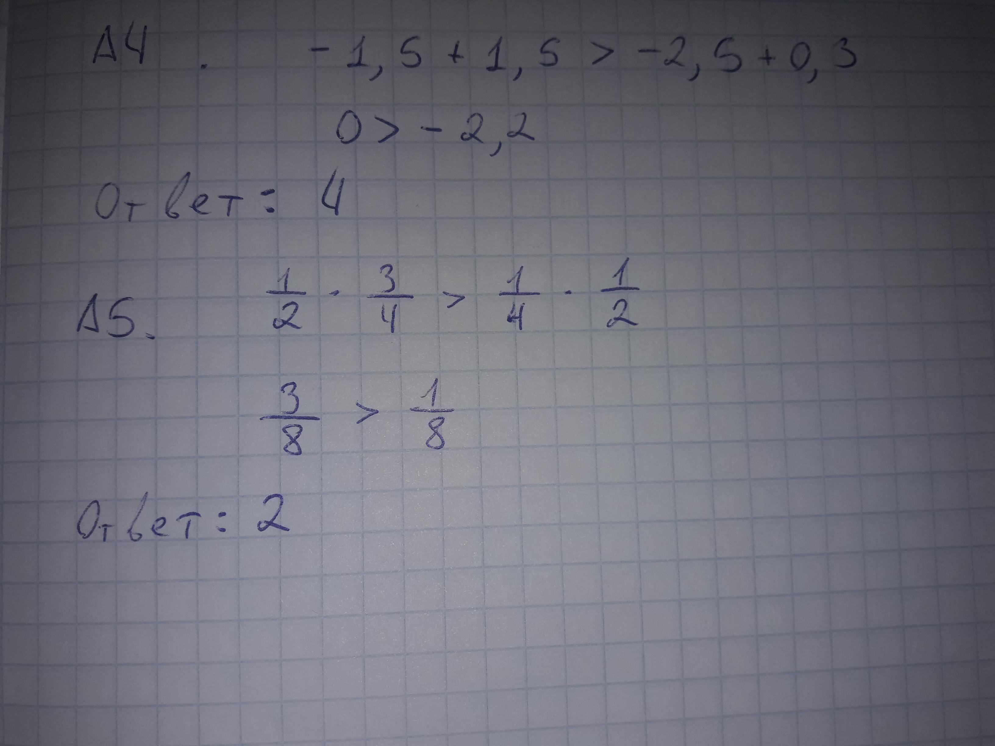
1) 4
2) 2
Объяснение на фото
Если я тебе помог, оцени мои старания))
Приложения:

Ответ дал:
0
2/4*1/4=2/4=1/2
3/4*2/4=6/4=3/2
Ответ 3
3/4*2/4=6/4=3/2
Ответ 3
Приложения:

Вас заинтересует
2 года назад
3 года назад
3 года назад
8 лет назад
9 лет назад