• Предмет: Математика
  • Автор: МарКошка18
  • Вопрос задан 2 года назад

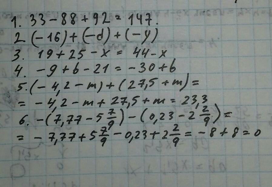
1.Записать данное выражение без скобок;(+33)+(-88)+(+92)=
2.Представить в виде суммы трёх слагаемых;
-16-d-y=(-16)+....
3.Раскрой скобки и упрости выражение;
19+(25-х)
Выражение без скобок;..
Выражение после упрощения;...
4.раскрой скобки и упрости выражение;
-(9-b)-21
Выражение без скобок;..
Выражение после упрощения;...
5.Напиши сумму двух выражений и упрости ее;-4,2-m и27,5 + m
Сумма двух выражений:...
После упрощения;...
6.раскрой скобки и найди значение выражения; -(7,77- 5 7/9)-(0,23- 2 2/9)=

Ответы

Ответ дал: WHATSTHEPROBLEMS
1

Ответ:

:)););)););):):):)):););)

Приложения:

МарКошка18: Спасибо большое))
WHATSTHEPROBLEMS: Угу;)
Аноним: Вижу помогли уже.
WHATSTHEPROBLEMS: сама хотела?
Аноним: Да, хотел сам))
Аноним: Помоги лучше мне
WHATSTHEPROBLEMS: я не сильна в украинской грамматике
WHATSTHEPROBLEMS: извини)
Ответ дал: fenixxx0404
0

Ответ:1)33-88+92

Пошаговое объяснение:

Вас заинтересует