• Предмет: Алгебра
  • Автор: 4Nka4y
  • Вопрос задан 2 года назад

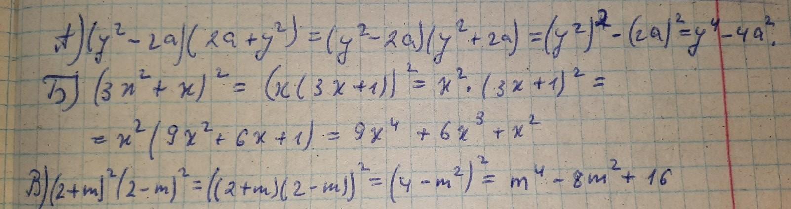
Выполните действия:
а) (у (2 степень) - 2а) (2а + у (2 степень)); Б)(3х (2 степень) + х)(2 степень);В) (2 + m)(2 степень) ( 2 - m)(2 степень)

Ответы

Ответ дал: yura12345678910
1

Ответ есть на фотографии. Хорошего дня. Если есть время, советую почитать мою любимую книгу "Сэнсэй" Анастасии Новых.

Приложения:

4Nka4y: Я читал.Хорошая книга от русской писательницы
yura12345678910: Хорошая книга, и есть продолжения
Ответ дал: Аноним
0

а) (y² - 2a)(2a + y²) = (y² - 2a)(y² + 2a) = (y²)² - (2a)² = y⁴ - 4a²

б) (3x² + x)² = (3x²)² + 2 · 3x² · x + x² = 9x⁴ + 6x³ + x²

в) (2 + m)²(2 - m)² = ((2 + m)(2 - m))² = (2² - m²)² = (4 - m²)² = 16 - 8m² + m⁴

Формулы:

(a + b)(a - b) = a² - b²

(a + b)² = a² + 2ab + b²

(aᵇ)ⁿ = aᵇⁿ

Вас заинтересует