Ответы
Ответ дал:
0
Ответ:
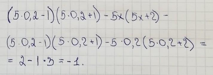
Смотреть решение на фото. Ответ: - 1.
Приложения:

VikulkaShake:
если не трудно отметь как лучшее
Вас заинтересует
1 год назад
1 год назад
1 год назад
1 год назад
3 года назад
8 лет назад
8 лет назад