• Предмет: Алгебра
  • Автор: Popravko909
  • Вопрос задан 2 года назад

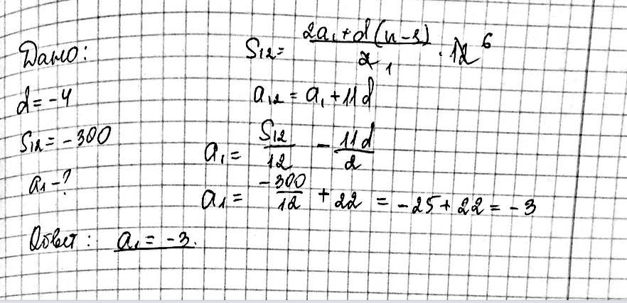
Разность арифметической прогрессии равна –4, а сумма её первых двенадцати членов
равна –300. Найдите первый член этой последовательности.


Reshallka: Отметишь мое решение лучшим?
Reshallka: Сделаю все правильно

Ответы

Ответ дал: Reshallka
0

Решение во вложении:

Приложения:

Popravko909: Брат, ну не правильно?
Popravko909: Ой не правильно
Popravko909: Я уже и -3 пробовал не правильно
Reshallka: -3 правильно
Вас заинтересует
2 года назад