Доказать тригонометрическое тождество
с подробными шагами решения, пожалуйста
заранее спасибо :)
Приложения:

Аноним:
опечатка в условии?
Ответы
Ответ дал:
2
решение смотрите во вложении
Приложения:

Ответ дал:
1
https://znanija.com/task/35266749
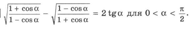
Доказать тригонометрическое тождество
√( (1+cosα) / (1-cosα) ) - √( (1 - cosα) / (1+cosα) ) =2ctgα для 0 < α < π/2
решение : * * * освобождение от иррациональности в знаменателе (числителе) дроби * * *
√( (1+cosα) / (1-cosα) ) - √( (1 - cosα) /(1+cosα) ) =
√( (1+cosα)²/ (1-cos²α) ) - √( (1 - cosα)² /(1- cos²α) ) =
√( (1+cosα)² /sin²α ) - √( (1 - cosα)² /sin²α ) =
|| 1+cosα ≥ 0 для любого α , а sinα > 0 т.к. 0 < α < π/2 ||
= (1+cosα) /sinα - (1 - cosα) /sinα = (1+cosα - 1 + cosα) /sinα =2cosα/sinα =
2ctgα .
Вас заинтересует
1 год назад
1 год назад
1 год назад
1 год назад
3 года назад
8 лет назад
8 лет назад