• Предмет: Математика
  • Автор: danrudskoi
  • Вопрос задан 2 года назад

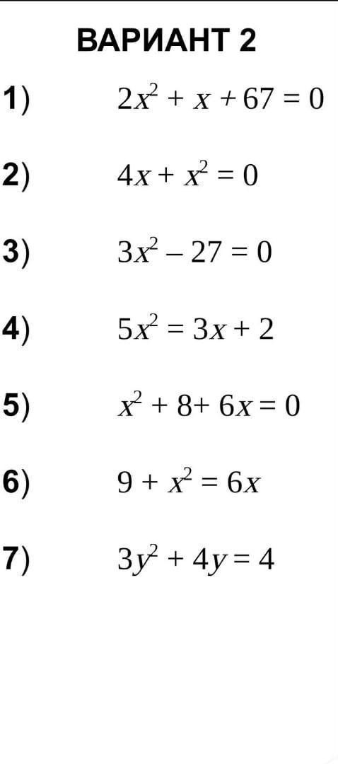
решите через дискриминант, срочно
даю 15 баллов

Приложения:

Ответы

Ответ дал: vladrov
0

Ответ:

Пошаговое объяснение:

Приложения:
Вас заинтересует