Ответы
Ответ дал:
0
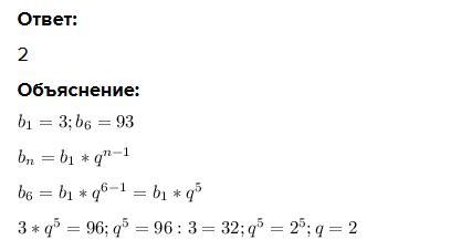
Ответ:
2
Объяснение:
Приложения:

Ответ дал:
0
Ответ:
q=2
Объяснение:
b6=b1×q^5
96=3×q^5
q^5=96:3
q^5=32
q=2
Вас заинтересует
1 год назад
1 год назад
3 года назад
8 лет назад