• Предмет: Алгебра
  • Автор: irinakha
  • Вопрос задан 2 года назад

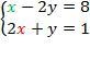
Найти решение системы уравнений
Возможные ответы
(1;8)

(2;-3)

(-2;4)

Приложения:

Ответы

Ответ дал: drakerton
1

Ответ:

(2; -3)

Объяснение:

\left \{ {{x-2y=8} \atop {2x+y=1}} \right. \\\\x = 8 + 2y\\\\2(8+2y) + y = 1\\\\16 + 4y + y = 1\\\\5y = -15\\\\y = -3\\\\x = 8 + 2\cdot (-3)\\\\x = 2

Вас заинтересует