Ответы
Ответ:
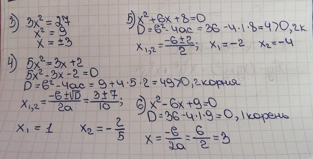
Решение смотреть на фото


Ответ: 3) x = +-3; 4) x(1) = 1, x(2) = -0,4; 5) x(1) = -2, x(2) = -4; 6) x = 3; 7) y(1) = 2/3, y(2) = -2.
Объяснение:
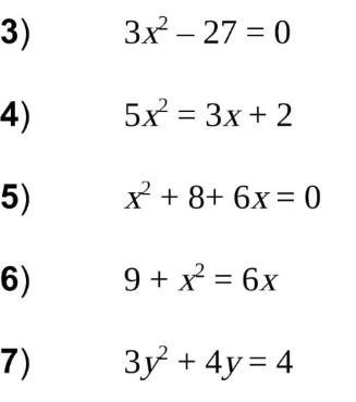
3) 3*x^2 - 27 = 0:
1. 3*x^2 = 27;
2. x^2 = 27/3;
3. x = +- корень из 9;
4. x = +-3.
4) 5*x^2 = 3*x + 2:
1. 5*x^2 - 3*x - 2 = 0;
2. D = b^2 - 4*a*c = 3^2 - 4*5*-2 = 9+40 = 49;
3. x(1) = (-b+корень D)/2*a = (3 + 7)/2*5 = 10/10 = 1;
4. x(2) = (-b-корень D)/2*a = (3 - 7)/2*5 = -0,4.
5) x^2 +6*x + 8 = 0:
1. D = b^2 - 4*a*c = 6^2 - 4*1*8 = 36 - 32 = 4;
2. x(1) = (-b+корень D)/2*a = (-6 + 2)/2 = -2;
3. x(2) = (-b-корень D)/2*a = (-6 - 2)/2 = -4.
6) x^2 - 6*x + 9 = 0:
1. D = b^2 - 4*a*c = 6^2 - 4*1*9 = 36 - 36 = 0;
2. x = -b/2*a = 6/2*1 = 3.
7) 3*y^2 +4*y - 4 = 0:
1. D = b^2 - 4*a*c = 4^2 - 4*3*-4 = 16 + 48 = 64;
2. y(1) = (-b+корень D)/2*a = (-4 + 8)/2*3 = 2/3;
3. y(2) = (-b-корень D)/2*a = (-4-8)/2*3 = -2.