• Предмет: Алгебра
  • Автор: venymarr2017
  • Вопрос задан 2 года назад

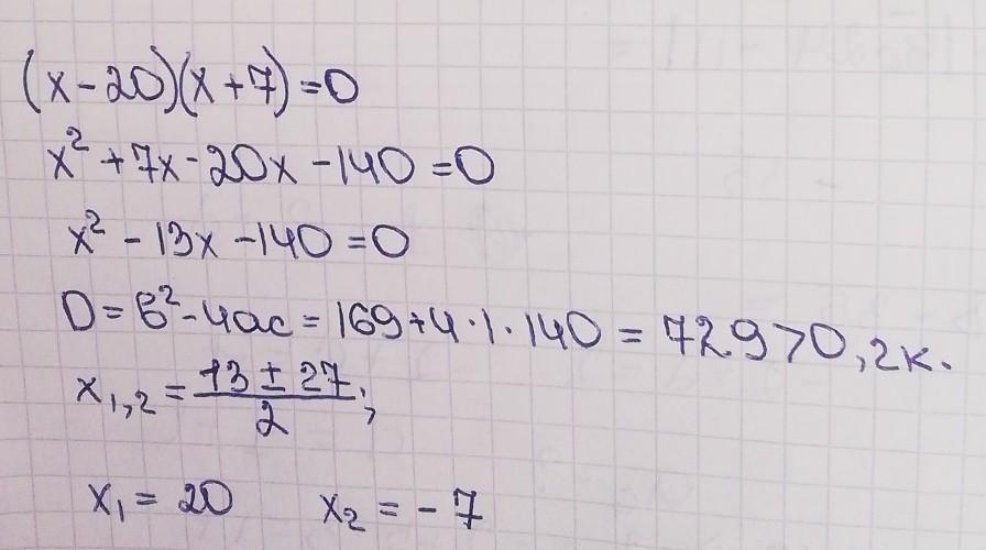
Реши уравнение (x−20)(x+7)=0 (Ввод начни с наибольшего корня уравнения).

Ответы

Ответ дал: VikulkaShake
2

Ответ:

Решение смотреть на фото. Наибольший корень 20, наименьший - 7.

Приложения:

venymarr2017: отвечу посмотрю правильно или нет
VikulkaShake: смотри
venymarr2017: щяс еще задание такоеже решишь?
venymarr2017: еще балы дам
VikulkaShake: ок
venymarr2017: как отметить как лучшее
venymarr2017: я забыл
VikulkaShake: если честно сама не знаю)) ладно, не отмечай)
venymarr2017: создал вопрос
VikulkaShake: а у меня не показывает...
Вас заинтересует