• Предмет: Геометрия
  • Автор: 24rus
  • Вопрос задан 11 лет назад

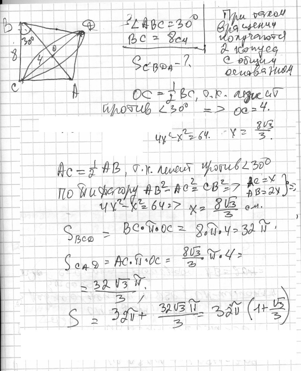
прямоугольный треугольник с катетом 8 см и прилежащим к нему углом 30 градусов вращается вокруг прямой,содержащей гипотенузу.Найдите площадь поверхности полученного тела. Помогите:*

Ответы

Ответ дал: ужнеужели
0
прямоугольный треугольник с катетом 8 см и прилежащим к нему углом 30 градусов вращается вокруг прямой,содержащей гипотенузу.Найдите площадь поверхности полученного тела.
Приложения:
Вас заинтересует