• Предмет: Математика
  • Автор: skeletonsink04
  • Вопрос задан 2 года назад

вычислите интеграл пожалуйста

Приложения:

dierchik25: ГОСПАДЕ, Можете хотя бы нормально повернуть фото
dierchik25: сейчас решу
skeletonsink04: не поворачивается

Ответы

Ответ дал: dierchik25
1

Ответ:

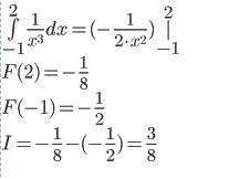
3/8

Пошаговое объяснение:

Вычислим определенный интеграл:

Приложения:

skeletonsink04: спасибо большое
dierchik25: не за что)
dierchik25: Можешь сделать Лучшим ответом?
skeletonsink04: я бы сделала, но значка нет
skeletonsink04: если появиться, сделаю
dierchik25: вот блин
Вас заинтересует