• Предмет: Математика
  • Автор: LinkZZZ
  • Вопрос задан 2 года назад

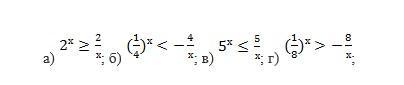
Решите уравнение, пожалуйста

Приложения:

Ответы

Ответ дал: kirillsol2233
0

Ответ:

а) x [-1,0)v[1,+знак бесконечность) только 1 времени нету)

Вас заинтересует