• Предмет: Математика
  • Автор: studentniki
  • Вопрос задан 2 года назад

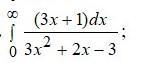
Необходимо вычислить несобственные интегралы или установить их расхождение.

Приложения:

Ответы

Ответ дал: Аноним
0

решение смотрите во вложении

Приложения:
Вас заинтересует