• Предмет: Алгебра
  • Автор: Almasterovic
  • Вопрос задан 2 года назад

Пожалуйста помогите! Дам все баллы.

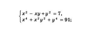
Приложения:

Ответы

Ответ дал: Evgenia4836
1

Ответ:

(-3;-1), (3;1), (-1;-3), (1;3)

Объяснение:

x²+y²=7+xy

(x²+y²)²=(7+xy)²

x⁴+2x²y²+y⁴=49+14xy+x²y²

x⁴+x²y²+y⁴=49+14xy

x⁴+x²y²+y⁴=91

14xy=42

xy=3

x= 3/y

9/y²-3+y²=7

пусть y²=t, t≥0

t²-10t+9=0

D=100-36= 64

t1= (10+8)/2= 9

t2= (10-8)/2= 1

y1= -1

y2= 1

y3= -3

y4= 3

x1= -3

x2= 3

x3= -1

x4= 1

Вас заинтересует