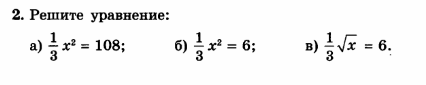
Решите уравнение: 1/3х в квадрате=108 ; 1/3х в квадрате=6 ; 1/3квадратный корень х=6
Приложения:
Ответы
Ответ дал:
0
А) х =18
Х в квадрате = 108 умножить на 3/1
Б) 3 корней из двух
Х в квадрате = 6 умножить 3/1
В)324
Квадратный корень равен = 6 умножить 3/1
Х в квадрате = 108 умножить на 3/1
Б) 3 корней из двух
Х в квадрате = 6 умножить 3/1
В)324
Квадратный корень равен = 6 умножить 3/1
Вас заинтересует
3 года назад
8 лет назад
8 лет назад
11 лет назад
11 лет назад
11 лет назад