• Предмет: Геометрия
  • Автор: annafogirina
  • Вопрос задан 2 года назад

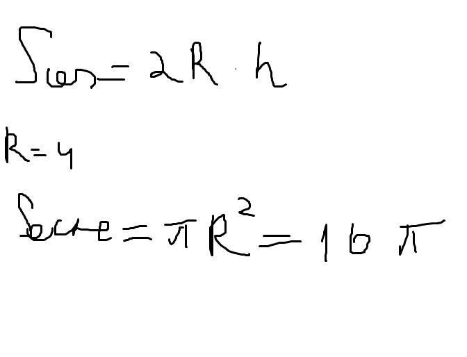
Площадь осевого сечения равна 16 м , а радиус цилиндра равен 4 м. Найти
площадь основания цилиндра.

Ответы

Ответ дал: matematikL
1

Ответ:

Объяснение:

ВОТ И ВСЕ

Приложения:

annafogirina: Спасибо за ответ, не знаешь ответа на это случайно? Установить зависимость между площадью боковой поверхности цилиндра и площадью её развёртки.
Sраз.........Sбок
Аноним: Площадь развертки равняется площади боковой поверхности
annafogirina: Спасибо
Вас заинтересует