• Предмет: Алгебра
  • Автор: asainovazhamilya2006
  • Вопрос задан 2 года назад

Помогите пожалуйста!
7 класс :Алгебра

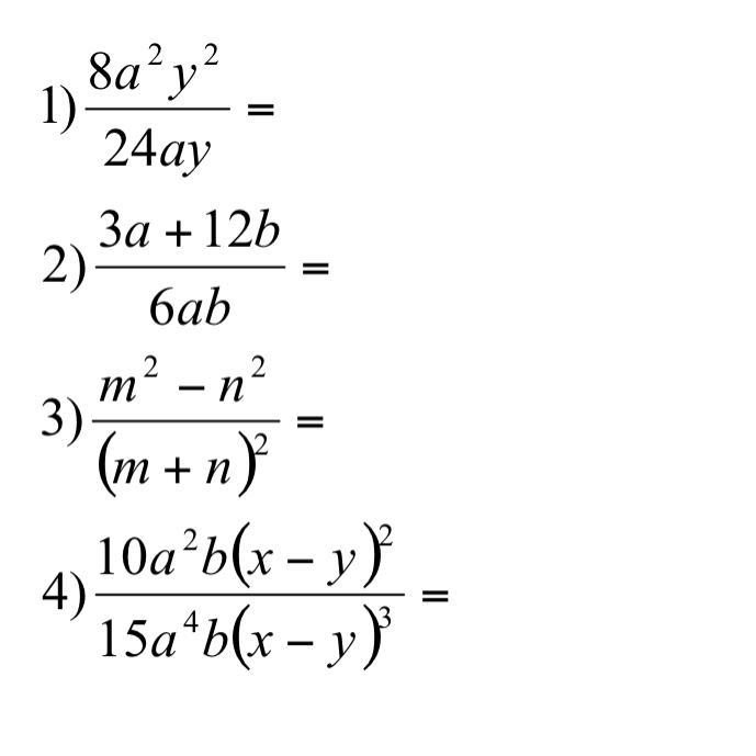
Приложения:

Ответы

Ответ дал: cheter190205
1

Ответ:

2) 15ав/6ав=5/2

3)м-n/m+n

4)2/3a^2(x-y)

Вас заинтересует