• Предмет: Алгебра
  • Автор: j4umaj
  • Вопрос задан 2 года назад

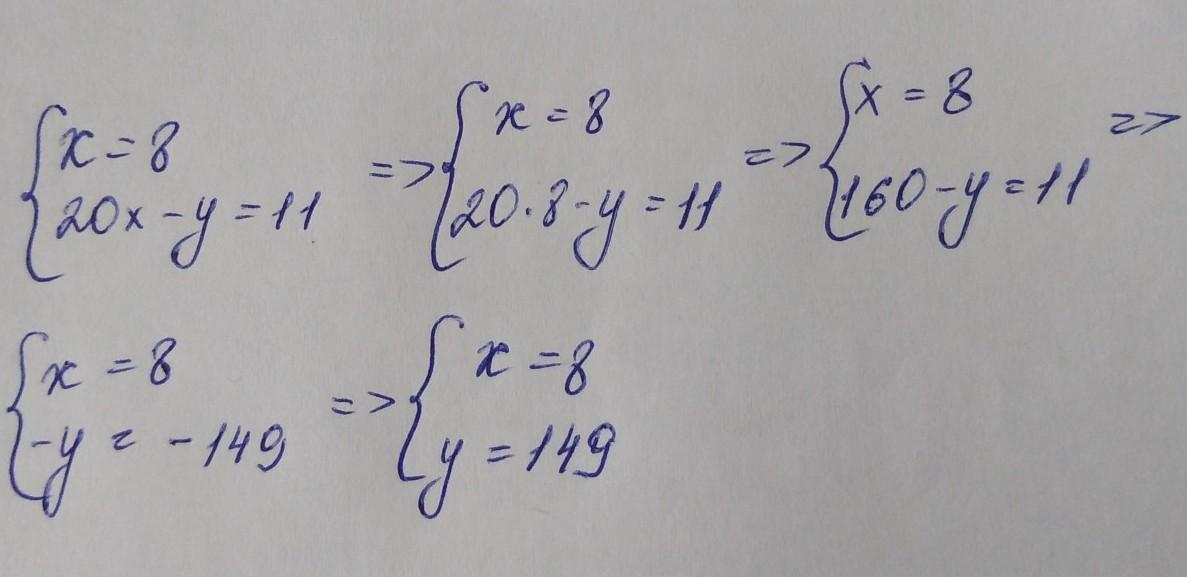
Реши систему: {x=8 20x−y=11

Ответы

Ответ дал: blackmday12
3

Объяснение:

Решение на фото...........

Приложения:
Вас заинтересует