• Предмет: Математика
  • Автор: ponchik4052
  • Вопрос задан 2 года назад

Помогите пожалуйста ​

Приложения:

Ответы

Ответ дал: Amaimoon
0

Ответ:

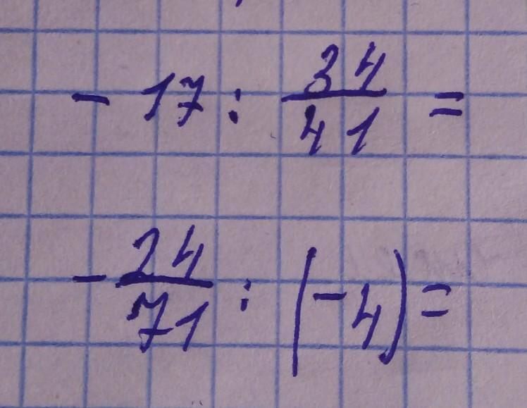
1)-20,5;\ 2)\frac{6}{71}.

Пошаговое объяснение:

1)-17:\frac{34}{41}=-17*\frac{41}{34}=-\frac{41}{2}=-20,5\\

2)-\frac{24}{71}:(-4)=\frac{24}{71*4}=\frac{6}{71}

Вас заинтересует