Ответы
Ответ дал:
1
Ответ:
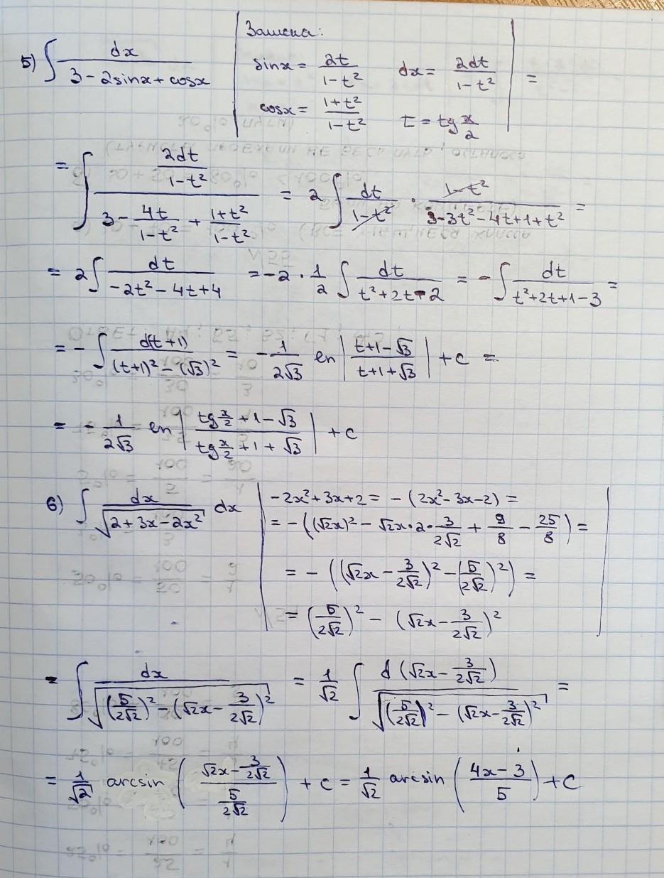
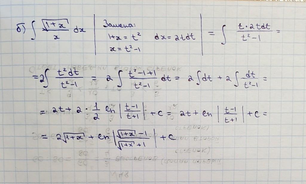
решение на фотографиях
Приложения:


Вас заинтересует
1 год назад
1 год назад
1 год назад
1 год назад
3 года назад
3 года назад