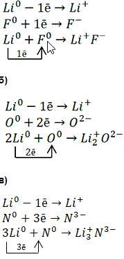
составьте схему образования ионной связи между литием и элементами неметаллами а) фтором ; б) кислородом ; в) азотом
Ответы
Ответ дал:
175
Ответ:
1 фтор
2 кислород
3 азот
Приложения:

Вас заинтересует
1 год назад
1 год назад
1 год назад
3 года назад