• Предмет: Алгебра
  • Автор: Аноним
  • Вопрос задан 2 года назад

Помогите! Пожалуйста, кто может
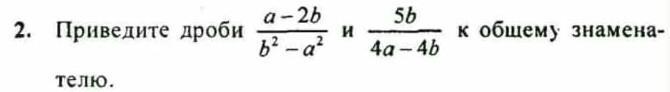
2. Приведите дроби:

Приложения:

Ответы

Ответ дал: Serzhovaevgeniya
1

Ответ:

общий знаменатель - 4a^2-4b^2

Объяснение:

1 дробь умножаем на -4, 2 дробь умножаем на a+b

Вас заинтересует