• Предмет: Физика
  • Автор: MaximkaGamer
  • Вопрос задан 2 года назад

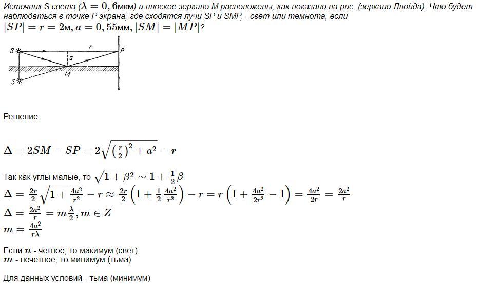
Посчитать все ответы в задаче. Решение дано снизу.

Приложения:

Ответы

Ответ дал: IUV
5

Ответ:

Объяснение:

во вложении скриншот расчетов и расчеты в экселевском файле

данные записываем в зеленые ячейки

в желтых они автоматически отображаются в СИ

в розовых ячейках промежуточные расчеты

в голубой ячейке конечный результат (округлен до целого числа)

в данном случае разность длин волн равна нечетному количеству полуволн (единице)

значит в данной точке будет наблюдаться минимум - это ответ

Приложения:

Sadika15c: Здравствуйте!Помогите пожалуйста с физикой,задание в профиле)
dianailyashchuk: Ви розумієтесь в історії? Мені треба срочно відповідь. Допоможіть, благаю
dianailyashchuk: Заходите на мій профіль, натискаєте добавлено і вибираєте запитання з історії.
dianailyashchuk: Пліз, допоможіть. Я буду дуже дуже дуже вдячна
aльфа777: можете помочь пожалуйста с физикой?
Infalible: Здравствуйте! Помогите пожалуйста 2 задачи 200 балов https://znanija.com/task/36320164 https://znanija.com/task/36320155
Аноним: Здравствуйте,не найдется ли у вас свободной минутки?(очень нужна помощь в решении нескольких задач,за ваше потраченное время могу заплатить вам реальные деньги) https://znanija.com/task/36350039
Вас заинтересует