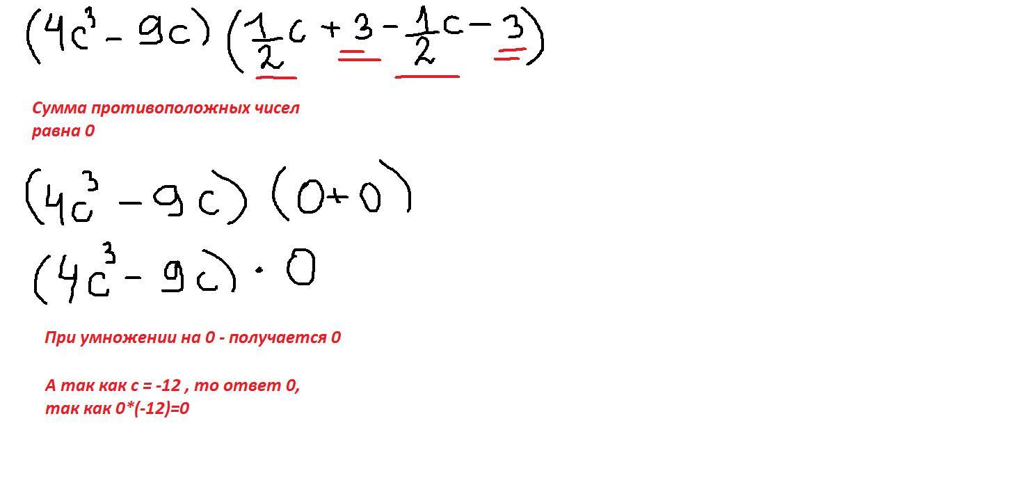
найти значение выражения (4с³- 9с) * (1/2с + 3 - 1/2с - 3) при с = - 12, буду премного благодарна, заранее огромное спасибо ❤️✨
Ответы
Ответ дал:
0
Ответ:
0
Объяснение:
В файле разъяснения
Приложения:

Вас заинтересует
1 год назад
1 год назад
1 год назад
1 год назад
3 года назад
8 лет назад