• Предмет: Математика
  • Автор: Arianna12345
  • Вопрос задан 2 года назад

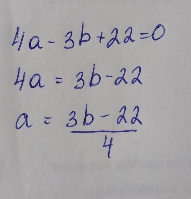
Дано линейное уравнение с двумя переменными
4−3+22=0.

Используя его, вырази переменную через другую переменную .

Ответ:
=

Приложения:

Ответы

Ответ дал: blackmday12
2

Пошаговое объяснение:

Ответ на фото..............

Приложения:
Вас заинтересует