• Предмет: Математика
  • Автор: ЖадныйЕврей
  • Вопрос задан 2 года назад

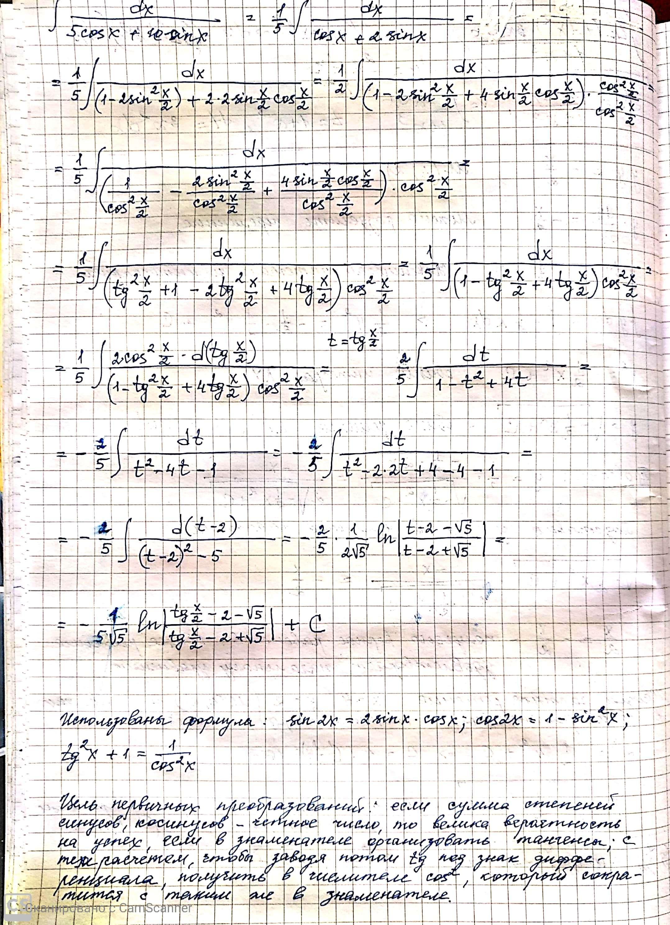
Вычислить интеграл заданный в закрепе

Приложения:

Ответы

Ответ дал: serjiof
1

Ответ:

Пошаговое объяснение: решение в файле

Приложения:
Вас заинтересует