• Предмет: Математика
  • Автор: Zalinalave86
  • Вопрос задан 8 лет назад

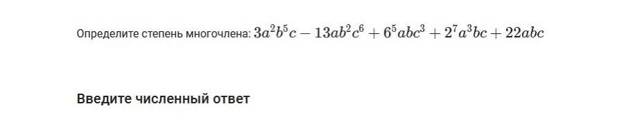
Пожалуйста решите , нужен только ответ

Приложения:

Ответы

Ответ дал: angel4342
0

Ответ:

............Я не знаю)

Вас заинтересует