• Предмет: Алгебра
  • Автор: ayazhansaginbay2007
  • Вопрос задан 8 лет назад

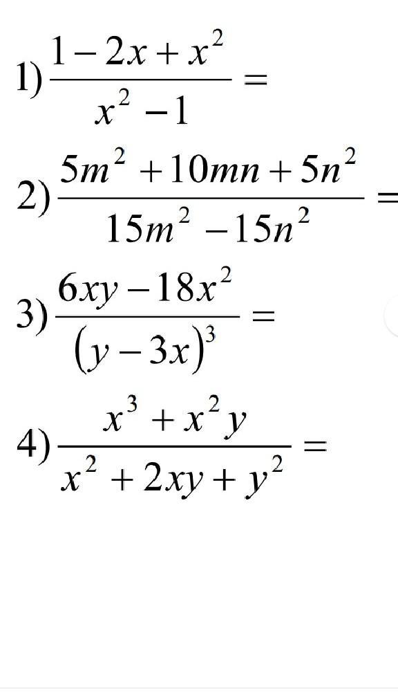
срочнооо нужно пожалуйста​.Даю 15 баллов!!! За 7 класс

Приложения:

Ответа на этот вопрос пока нет. Попробуйте найти его через форму поиска.

Вас заинтересует