• Предмет: Математика
  • Автор: CeFiRuShKa
  • Вопрос задан 8 лет назад

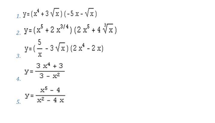
Срочно помогите решить, плззз

Приложения:

Ответа на этот вопрос пока нет. Попробуйте найти его через форму поиска.

Вас заинтересует